Skip to content Skip to sidebar Skip to footer

How Much Is A Kilometer In Miles - It is commonly used officially for expressing distances between geographical places on land in most of the world.

How Much Is A Kilometer In Miles - It is commonly used officially for expressing distances between geographical places on land in most of the world.. Mile is used in the us, the united kingdom, limited use in australia, canada, new zealand and in some other countries. Convert km (kilometers) to miles with our free online distance conversion calculator, and learn the kilometer to mile calculation for example, here's how to convert 10 kilometers to miles using the formula above. ›› convert kilometre to mile. ›› more information from the unit converter. 6 miles ≈ 10 km, and 10 miles ≈ 16 km.

For a more accurate answer please select 'decimal' from the options above the result. How to use kilometer to mile conversion calculator type the value in the box next to kilometer km. How much are 1 miles in kilometers? 1 mile is exactly 1.609344 kilometres by international agreement in 1959. Instantly convert miles (mi) to kilometers (km) and many more length conversions online.

How Many Miles Is One Kilometer Quora
How Many Miles Is One Kilometer Quora from qph.fs.quoracdn.net
Lets say you jog 3 miles every day and want to know how many units of kilometers you are covering. How to convert 73 miles to kilometers? There are more subtypes of a mile. However, learning how to do it on your own is a good idea if you ever don't have an internet connection. It is commonly used officially for expressing distances between geographical places on land in most of the world. 1 kilometer is 1,000 meters 1 mile is 1,609 meters. 6 miles ≈ 10 km, and 10 miles ≈ 16 km. A runner decides to run a 10k race.

You see, how much bigger a mile is.

How many miles are there in 1 kilometer? A mile (mi) is a unit of length in us customary units and british imperial units. It is most commonly equal to 5,280 feet (1,760 yards, or about 1,609 meters). Mile is used in the us, the united kingdom, limited use in australia, canada, new zealand and in some other countries. This unit is used worldwide. How far is 100 kilometers in miles? How many km are in 73 miles? = how many km in 73 mile? A mile is a unit of distance equal to 5,280 feet or exactly 1.609344 kilometers. Convert from kilometers to miles and miles to kilometers with this handy conversion tool. How to use kilometer to mile conversion calculator type the value in the box next to kilometer km. Many sites on the internet can automatically convert miles to kilometers. How many miles is it?

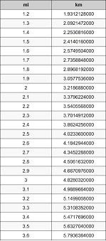
How many km are in 73 miles? 1 mile is exactly 1.609344 kilometres by international agreement in 1959. Km) is a unit of length equal to 1000 metres (from the greek. 1 nautical mile = 1.1507794479 miles. 1 miles equal 1.609344 kilometers (1mi = 1.609344km).

Nautical Mile Wikipedia
Nautical Mile Wikipedia from upload.wikimedia.org
1000 kilometre to mile converter. A mile (mi) is a unit of length in us customary units and british imperial units. If you're not sure how many decimal places you must be accurate to, ask your teacher. 5 miles ≈ 8 km. Figures rounded to a maximum of 5 decimal places (7 with smaller numbers). How to convert kilometers to miles statute? For a more accurate answer please select 'decimal' from the options above the result. It is currently defined as 5,280 feet, 1,760 yards, or exactly 1,609.344 meters.

Mile helps in small measurements.

Mile is used in the us, the united kingdom, limited use in australia, canada, new zealand and in some other countries. Learn how to convert from miles to kilometers and what is the conversion factor as well as the conversion formula. A mile (mi) is a unit of length in us customary units and british imperial units. Mi or m) is a unit of length in the imperial and us customary systems of measurement. How many miles is it? 1000 km to mi (1000 kilometres to miles) converter. How much is a kilometer in miles statute? You see, how much bigger a mile is. If you're not sure how many decimal places you must be accurate to, ask your teacher. Instantly convert miles (mi) to kilometers (km) and many more length conversions online. Type in the amount you want to convert and press the convert button. A kilometer is now used officially for expressing distances between geographical places on land in most of the world with notable exceptions being the united states and the united kingdom. Miles to kilometers (swap units).

Also, explore tools to convert mile or kilometer to other length units or learn more about length conversions. How far is 100 kilometers in miles? Use this page to learn how to convert between kilometres and miles. Convert 1000 kilometre to mile with formula, common lengths conversion, conversion tables and more. 1 mile is exactly 1.609344 kilometres by international agreement in 1959.

Miles To Kilometers And Walking Time Converter
Miles To Kilometers And Walking Time Converter from www.verywellfit.com
Download distance and length unit converter our powerful software utility that helps you make easy conversion between more than 2,100 various units of measure in more than 70 categories. The statute mile = 5,280 feet (or about 1,609 m), or 63360 inches. Easily convert miles to kilometers, with formula, conversion chart, auto conversion to common lengths, more. You see, how much bigger a mile is. Speed in kilometers is called kilometers per hour and abbreviated as 'kph.' Miles to kilometers (mi to km) converter, formula and conversion table to find out how many kilometers in miles. Also, explore tools to convert mile or kilometer to other length units or learn more about length conversions. Convert between the units (km → mi) or see the conversion table.

1 mile is exactly 1.609344 kilometres by international agreement in 1959.

Converting 1 mi to km is easy. 1000 kilometre to mile converter. Km) is a unit of length in the metric system, equal to 1000m (also written as 1e+3m). Km) is a unit of length equal to 1000 metres (from the greek. A kilometer is an independent unit and has no more types. How much are 1 miles in kilometers? How much is a kilometer in miles statute? In the united states and the united kingdom, distances are measured in miles. Mile helps in small measurements. For example, to find out how many kilometers there are in 10 miles, multiply 1.609344 by 10, that makes 16.09344 most cases the result will appear immediately as it is entered. Figures rounded to a maximum of 5 decimal places (7 with smaller numbers). 1 mile is exactly 1.609344 kilometres by international agreement in 1959. A kilometer is now used officially for expressing distances between geographical places on land in most of the world with notable exceptions being the united states and the united kingdom.